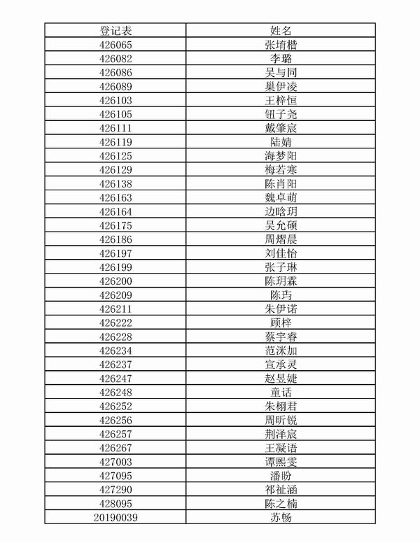
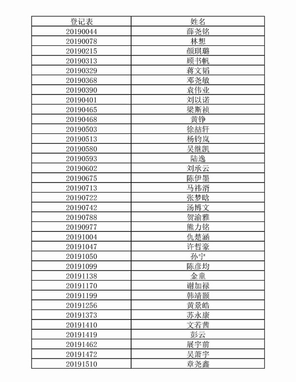
常州外国语学校2019年小升初拟录取名单公示
            
                发布时间:2019-04-25  
                点击:  
                来源:本站原创  
                录入者:常州外国语学校
            
            















                附件:
                
            |  关闭窗口  打印文档 | 
